TEMA PRIMER PERIODO: FACTORIZACIÓN. ¿Que es factorizacion? En algebra, la factorización es expresar un objeto o número que, al multiplicarlos todos, resulta el objeto original. Por ejemplo, el número 15 se factoriza en numeros primos 3 × 5; y a²-b² se factoriza como binomio conjugado (a - b)(a + b). La factorizacion lleva a acabo 10 casos los cuales explicare.
Caso 1 Factor común: Sacar el factor común es añadir la literal común de un polinomio,binomio o trinomio con el menor exponente y el divisor común de sus coeficientes, y para sacar esto, hay una regla muy sencilla que dice: Cuadrado del primer término más o menos cuadrado del segundo por el primero más cuadrado del segundo, y no hay que olvidar, que los dos que son positivos iguales funcionan como el primer término, sabiendo esto, será sumamente sencillo resolver los factores comunes.
EJEMPLO: 7x2 + 11x3 - 4x5 + 3x4 - x8 = Fc:x2
El Fcator comun se divide entre el polinomio y da: x2. (7 + 11x - 4x3 + 3x2 - x6) Grafica: Vídeos para mayor entendimiento: Diagrama de flujo para los pasos de este:
Caso 2 FC por agrupación de términos : -Para trabajar un polinomio por agrupación de términos, se debe tener en cuenta que son dos características las que se repiten. Se identifica porque es un número par de términos. EJEMPLO:
2y + 2j +3xy + 3xj,
se agrupan:
= (2y+2j)+(3xy+3xj),
Aplicamos el caso I
= 2(y+j)+3x(y+j),
= (2+3x)(y+j),
GRÁFICA: Vídeospara mayor entendimiento: DIAGRAMA DE FLUJO PARA LOS PASOS DE ESTE:
Caso 3 Trinomio cuadrado perfecto: Se identifica por tener tres términos, de los cuales dos tienen raíces cuadradas exactas, y el restante equivale al doble producto de las raíces del primero por el segundo. Para solucionar un Trinomio Cuadrado Perfecto debemos reordenar los términos dejando de primero y de tercero los términos que tengan raíz cuadrada, luego extraemos la raíz cuadrada del primer y tercer término y los escribimos en un paréntesis, separándolos por el signo que acompaña al segundo término, al cerrar el paréntesis elevamos todo el binomio al cuadrado. EJEMPLO:
Diagrama de flujo para los pasos de este: Caso 4 - Diferencia de cuadrados Se identifica por tener dos términos elevados al cuadrado y unidos por el signo menos. Se resuelve por medio de dos paréntesis, (parecido a los productos de la forma (a-b)(a+b), uno negativo y otro positivo. EJEMPLO:
9y^2-4x^2=(3y)^2-(2x)^2=(3y+2x)(3y-2x),
Gráfica: Vídeos:
Caso 5 - Trinomio cuadrado perfecto por adición ysustracción Se identifica por tener tres términos, dos de ellos son cuadrados perfectos, pero el restante hay que completarlo mediante la suma para que sea el doble producto de sus raíces , el valor que se suma es el mismo que se resta para que el ejercicio original no cambie. EJEMPLO:
Diagrama de flujo:
Caso 6 -Trinomio de la forma x2 +- bc + c
El primero termino siempre dbe estar elevado a la 2, a,b,c representan constantes constantes,los coeficientes numéricos, el signo puede ser - +- Se identifica por tener tres términos, hay una literal con exponente al cuadrado y uno de ellos es el término independiente. Se resuelve por medio de dos paréntesis, en los cuales se colocan la raíz cuadrada de la variable, buscando dos números que multiplicados den como resultado el término independiente y sumados (pudiendo ser números negativos) den como resultado el término del medio. Ejemplo:
a^2+2a-15 = (a+5) (a-3) ,
Ejemplo:
x^2+5x+6 = (x+3)(x+2),
Gráfica : Videos: Diagrama de flujo: Caso 7 Trinomio de la forma ax2 +- bc +-c Expresiones como 2x2 + 3x - 2, 6a4 + 7a2 + 2, 7m6 - 33m3 -10,son trinomios de la forma ax2 + bx + c. Los trinomios de esta forma presentan las siguientes características: 1. El coeficiente del primer término es diferente de 1. 2. La variable del segundo término es la misma que la del primer término pero con exponente a la mitad. 3. El tercer término es independiente de la letra que aparece en el primer y segundo términos del trinomio.
Para factorizar trinomios de la forma ax2 + bx + c, existen varias formas, a continuación se describirá una de ellas.
Diagrama de flujo: Caso 8 Cubo perfecto Caso de factorizacion,solamente se aplican polinomio de 4 términos y es conformado por 3 reglas: Primera regla: El primer y ultimo termino son cubos perfectos(que se pueden hallar la raiz cubicas exactas) Segunda regla:La multiplicación de las raíces entre si,y por 3 elevando la primera raíz al cuadrado,debe ser igual el segundo termino. Tercera regla:La multiplicación de las raíces entre si y por 3 elevando la segunda raíz al cuadrado debe ser igual al tercer termino.
EJEMPLO:
8x6 + 54x2y6 - 27y9 - 36x4y3Ordenando el polinomio, se tiene: 8x6 - 36x4y3 + 54x2y6 - 27y9 Verificar si la expresión cumple con las anteriores características.Tiene cuatro términos.La raíz cúbica de 8x6 es 2x2 La raíz cúbica de 27y9 es 3y33(2x2)2(3y3) = 3(4x4)(3y3) = 36x4y3, segundo término3(2x2)(3y3)2 = 3(2x2)(9y6) = 54x2y6, tercer término Cumple las condiciones y como todos sus términos son alternadamente positivos y negativos, entonces la expresión dada es el cubo de (2x2 - 3y3) o (2x2 - 3y3) es la raíz cúbica de la expresión. Luego, 8x6 - 36x4y3 + 54x2y6 - 27y9 = (2x2 - 3y3)3 Grafica: Vídeos
:
Caso 9 .Diferencia de cubos perfectos
Caso solamente para binomios y tienen que ser cubos perfectos. En una suma de cubos perfectos. Procedimiento para factorizar
1)
Se extrae la raíz cúbica de cada término del binomio.
2)
Se forma un producto de dos factores.
3)
Los factores binomios son la suma de las raíces cúbicas de los términos del binomio.
4)
Los factores trinomios se determinan así:
El cuadrado de la primera raíz menos el producto de estas raíces más el cuadrado de la segunda raíz.
En una diferencia de cubos perfectos. Procedimiento para factorizar
1)
Se extrae la raíz cúbica de cada término del binomio.
2)
Se forma un producto de dos factores.
3)
Los factores binomios son la diferencia de las raíces cúbicas de los términos del binomio.
4)
Los factores trinomios se determinan así:
El cuadrado de la primera raíz más el producto de estas raíces más el cuadrado de la segunda raíz.
:Caso 10-suma y diferencia de dos potencia siguales
Son binomios y las raíces son iguales,las potencias iguales se definen por que se puede extraer la misma raiz a ambos términos,se puede usar cualquier raíz y que sean iguales.
*Numeros complejosEs un numero real sumado o restado con un numero imaginario. *Numero imaginarioEs un numero complejo cuya parte real es igual a cero. c=a +/- biEjemplos:4+8i10-5i1/3 - 4i *Suma y resta de i (complejos)R +/- Ri +/- ise suman partes reales entre si y partes imaginarias entre si.Ejemplos:(3-4i)+(8+10i) = 11 + 6i(-4-8) - (7-6i) = -11 -2i*Numeros conjugadosCambio del signo de la parte imaginaria. 4-8i= 4+8iUn numero que tiene una parte real o imaginaria que se suma o se resta i =
sqrt{ }
-1
sqrt{ }
-49
sqrt{ }
(-1)(49)
sqrt{ }
-1
sqrt{ }
49
i.7 = 7i
*Multiplicacion de complejos Se aplica la propiedad distributiva del producto respecto a la suma teniendo en cuenta que i a la dos = - 1. FORMULA:(a + bi) (c+di) EJEMPLOS:
ac + adi + bci bdi a la 2 ac + i (ad +bc-bd) (ac-bd) + (ad + bc)i
(4-8i) / (3+10i) 12+40i-24i-80i a la dos 12+16i +80 *se saca la raiz* 92 + 16 i *Division de complejos FORMULA: a+bi/c+di / c-di/c-di EJEMPLOS:4-8i/3+10i / 3-10i/3-10i 12-40i-24i+8i a la dos/9-100c a la dos 12/-64i -80 / 9 +100-68-64/109-68/109 - 64/109i 8-2i/-1+5i 8-2i/-1-5i + -1-5i/-1-5i -3-15i+2i-10i a la dos/ 1+25 -13-13i/26
-1/2 - !/2i ACTIVIDAD: http://www.educaplay.com/es/recursoseducativos/667846/numeros_complejos.htm *Numeros Polares complejos: a+- bi rectangulares Polares: r angulo deΘ r=magnitud Θ= angulo *Grafica Para poder hacer una grafica polar primero se debe divir una hoja u otro espacio en dos de altura y en dos de ancho entre 2 siendo excatos ej ancho : 8 + 8 = 16 ancho = 8 ,despues se debe hacer una tabla sacando el coseno o seno cada 10 grados segun lo que le indiquen. Depues de haber sacado el cos o sen de cada grado o 10 grados o entre otros, se hace una lista de resultantes de cada grado de mayor a menor, el mayor resultante es igual a cuando mide la mitad de el ancho ej:8 cm y despues se implementa la regla de 3 con las demas resultantes sacando medidas y segun cada angulo debera graficar los cm hasta logar una grafica. ACTIVIDAD:
*Ecuacion: igualdades en las que aparecen numeros e icognitas mediante operaciones algebraicas. Ejemplo: 3x - 2y = x2 + 1 *Ecuacion de primer grado:Ecuaciones de una incognita cuando su parte literal no esta elevada a inguna potencia
Ejemplo: 3x + 1 = x - 2 3x +1 -1 = x - 2 -1 2x/2 = -3/2x = -1.5 ACTIVIDAD: http://www.educaplay.com/es/recursoseducativos/667716/_ecuaciones_de_primer_grado.htm
Bizagi:Resumidamente un problema de ecuacion lineal es un problema escrito textualmente plantenado un problema matematico para ser en este caso resuelto por medio de una ecuacion algebraica,lo mas importante en los porblemas es primero extraer la informacion importante y la incognita,despues de esto plantear la ecuacion y resolverla cuando usted la resolvio debera exribir la respuesta de manera literal/textual y algebraicamente.
Cramer 3x3
Cramer 3x3 es un método para resolver sistemas de 3 ecuaciones de 3 incógnitas,el cual se explicara a continuación.
Para resolver un sistema de 3 ecuaciones por medio de Crammer lo primero que debemos es sacar DELTA por medio del metodo de Jarrus:
El metodo de sarrus consiste en que podemos sacar en el sistema de 3 ecuaciones los numeros de cada incognitaEjemplo: 3x seria 3 , 76y seria 76.Cuando a cada una se le saca el numero se pone igual a como estaba,y despues se duplican las dos primeras filas abajo de las ya echas.Realizando una MATRIZ.Ya echa esta se hacen lineas paralelas entre los numeros de la matriz enlazando 3 numeros, aunque hay dos grupos el primero que van lineas paralelas de izquierda a derecha y el otro que van lineas paralelas de derecha a izquierda.Aqui podemos ver en esta imagen un ejemplo:Las lineas moradas son las que van de izquierda a derecha y las negras que van de derecha a izquierda. Después de esto se arman ya grupos entre cada 3 números de cada linea paralela multiplicándose los grupos de las lineas moradas deben contener un signo positivo y los grupos de las lineas negras un signo negativo. Ej: Delta = ( 1 x 2 x 3 ) + ( -4 x -1 x -3 ) + ( 5 x 2 x 1 ) - ( -3 x 2 x 5 ) - (1 x 1 x 1 ) - ( 3 x 2 x -4 ) Y multiplicado cada uno dará: Delta = 6 - 12 + 10 + 30 +1 + 24 Y se resuelven dichas operaciones obteniendo delta que sera:Delta = 59 Así obtuvimos Delta
Ya sabemos como obtener delta Usaremos otro ejemplo ya para obtener ya lo que equivale cada incógnita x + y + z = 4 2x - 3y + 5z = -5 3x + 4y + 7z = 10
Se hace la respectiva matriz de esta ecuación sacando cada numero de cada incógnita quedando:
Luego de esto hallamos delta haciendo la matriz para sacar Delta y sus respectivos grupos resueltos dando:
Entonces Delta nos dio -23
Después de esto proseguiremos a descubrir cuanto equivale x,y y z.Se hace el mismo método de Sarrus pero el resultado no es delta sino x,y o z y se divide sobre Delta. Ademas debemos tener en cuenta que: En x volvemos a ver y hacer la matriz de la 3 ecuaciones y lo que es el = de las ecuaciones lo ponemos en la primera columna como a continuación veremos ya con el proceso de las lineas sus grupos evidentemente se cortan ya que se resuelve mentalmente, su resultado que se divide en Delta y ya dando a saber lo que equivale x.
En y volvemos a ver y hacer la matriz de la 3 ecuaciones y lo que es el = de las ecuaciones lo ponemos en la segunda columna como a continuación veremos ya con el proceso de las lineas, sus grupos evidentemente se cortan ya que se resuelve mentalmente, su resultado que se divide en Delta y ya dando a saber lo que equivale y. En z volvemos a ver y hacer la matriz de la 3 ecuaciones y lo es el = de las ecuaciones lo ponemos en la tercera columna como a continuación veremos ya con el proceso de las lineas sus grupos evidentemente se cortan ya que se resuelve mentalmente, su resultado que se divide en Delta y ya dando a saber lo que equivale z.
Hola,bienvenidos al blog de Camila Cardenas sobre Algebra!
Los contenidos que se veran al principio seran:
- Factorizacion caso 1-10
- Geometria con recursos algebraicos
Este contenido se encontraba en otro espacio ya que por eso no se pudo ver el día en el que se revisaríahttps://www.wikispaces.com/user/view/CamilaCardenas8bColegioCambridge
=
=
TEMA PRIMER PERIODO: FACTORIZACIÓN.
¿Que es factorizacion?
En algebra, la factorización es expresar un objeto o número que, al multiplicarlos todos, resulta el objeto original. Por ejemplo, el número 15 se factoriza en numeros primos 3 × 5; y a²-b² se factoriza como binomio conjugado (a - b)(a + b).
La factorizacion lleva a acabo 10 casos los cuales explicare.
Caso 1 Factor común:
Sacar el factor común es añadir la literal común de un polinomio,binomio o trinomio con el menor exponente y el divisor común de sus coeficientes, y para sacar esto, hay una regla muy sencilla que dice: Cuadrado del primer término más o menos cuadrado del segundo por el primero más cuadrado del segundo, y no hay que olvidar, que los dos que son positivos iguales funcionan como el primer término, sabiendo esto, será sumamente sencillo resolver los factores comunes.
EJEMPLO:
7x2 + 11x3 - 4x5 + 3x4 - x8 =
Fc:x2
El Fcator comun se divide entre el polinomio y da:
x2. (7 + 11x - 4x3 + 3x2 - x6)
Grafica:
Vídeos para mayor entendimiento:
Diagrama de flujo para los pasos de este:
Caso 2 FC por agrupación de términos :
-Para trabajar un polinomio por agrupación de términos, se debe tener en cuenta que son dos características las que se repiten. Se identifica porque es un número par de términos.
EJEMPLO:
se agrupan:
Aplicamos el caso I
GRÁFICA:
DIAGRAMA DE FLUJO PARA LOS PASOS DE ESTE:
Caso 3 Trinomio cuadrado perfecto:
Se identifica por tener tres términos, de los cuales dos tienen raíces cuadradas exactas, y el restante equivale al doble producto de las raíces del primero por el segundo. Para solucionar un Trinomio Cuadrado Perfecto debemos reordenar los términos dejando de primero y de tercero los términos que tengan raíz cuadrada, luego extraemos la raíz cuadrada del primer y tercer término y los escribimos en un paréntesis, separándolos por el signo que acompaña al segundo término, al cerrar el paréntesis elevamos todo el binomio al cuadrado.
EJEMPLO:
GRÁFICA:
Vídeos:
Diagrama de flujo para los pasos de este:
Caso 4 - Diferencia de cuadrados
Se identifica por tener dos términos elevados al cuadrado y unidos por el signo menos. Se resuelve por medio de dos paréntesis, (parecido a los productos de la forma (a-b)(a+b), uno negativo y otro positivo.
EJEMPLO:
Gráfica:
Vídeos:
Caso 5 - Trinomio cuadrado perfecto por adición y sustracción
Se identifica por tener tres términos, dos de ellos son cuadrados perfectos, pero el restante hay que completarlo mediante la suma para que sea el doble producto de sus raíces , el valor que se suma es el mismo que se resta para que el ejercicio original no cambie.
EJEMPLO:
GRÁFICA:
Vídeos
Diagrama de flujo:
Caso 6 -Trinomio de la forma x2 +- bc + c
El primero termino siempre dbe estar elevado a la 2, a,b,c representan constantes constantes,los coeficientes numéricos, el signo puede ser - +-
Se identifica por tener tres términos, hay una literal con exponente al cuadrado y uno de ellos es el término independiente. Se resuelve por medio de dos paréntesis, en los cuales se colocan la raíz cuadrada de la variable, buscando dos números que multiplicados den como resultado el término independiente y sumados (pudiendo ser números negativos) den como resultado el término del medio.
Ejemplo:
Ejemplo:
Gráfica
:
Videos:
Diagrama de flujo:
Caso 7 Trinomio de la forma ax2 +- bc +-c
Expresiones como 2x2 + 3x - 2, 6a4 + 7a2 + 2, 7m6 - 33m3 -10,son trinomios de la forma ax2 + bx + c.
Los trinomios de esta forma presentan las siguientes características:
1. El coeficiente del primer término es diferente de 1.
2. La variable del segundo término es la misma que la del primer término pero con exponente a la mitad.
3. El tercer término es independiente de la letra que aparece en
el primer y segundo términos del trinomio.
Para factorizar trinomios de la forma ax2 + bx + c, existen varias
formas, a continuación se describirá una de ellas.
EJEMPLO:15x4 - 23x2 + 4=15(15x4 - 23x2 + 4) 15 =(15x2)2 - 23(15x) + 60 15 =(15x2 - 20)(15x2 - 3) 15
=5(3x2- 4) 3(5x2 - 1) 5 . 3 15x4 - 23x2 + 4 = (3x2 - 4)(5x2 - 1)
GRÁFICA:
Vídeos:
Diagrama de flujo:
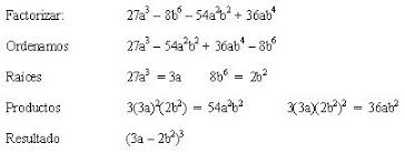
Caso de factorizacion,solamente se aplican polinomio de 4 términos y es conformado por 3 reglas:
Primera regla: El primer y ultimo termino son cubos perfectos(que se pueden hallar la raiz cubicas exactas)
Segunda regla:La multiplicación de las raíces entre si,y por 3 elevando la primera raíz al cuadrado,debe ser igual el segundo termino.
Tercera regla:La multiplicación de las raíces entre si y por 3 elevando la segunda raíz al cuadrado debe ser igual al tercer termino.
EJEMPLO:
8x6 + 54x2y6 - 27y9 - 36x4y3Ordenando el polinomio, se tiene: 8x6 - 36x4y3 + 54x2y6 - 27y9
Verificar si la expresión cumple con las anteriores características.Tiene cuatro términos.La raíz cúbica de 8x6 es 2x2 La raíz cúbica de 27y9 es 3y33(2x2)2(3y3) = 3(4x4)(3y3) = 36x4y3, segundo término3(2x2)(3y3)2 = 3(2x2)(9y6) = 54x2y6, tercer término
Cumple las condiciones y como todos sus términos son alternadamente positivos y negativos, entonces la expresión dada es el cubo de (2x2 - 3y3) o (2x2 - 3y3) es la raíz cúbica de la expresión. Luego,
8x6 - 36x4y3 + 54x2y6 - 27y9 = (2x2 - 3y3)3 Grafica:
Vídeos
Caso 9 .Diferencia de cubos perfectos
Caso solamente para binomios y tienen que ser cubos perfectos.
En una suma de cubos perfectos.
Procedimiento para factorizar
En una diferencia de cubos perfectos.
Procedimiento para factorizar
y
||
Gráfica:
Vídeos
:Caso 10-suma y diferencia de dos potencia siguales
Son binomios y las raíces son iguales,las potencias iguales se definen por que se puede extraer la misma raiz a ambos términos,se puede usar cualquier raíz y que sean iguales.
EJEMPLO:
se divide por
y tenemos:
y obtenemos como respuesta:
Gráfica:
Vídeos:
FINSEGUNDO PÉRIODO
PLANCHAS & FRACCIONES ALGEBRAICAS
Mis planchas
TERCER PERIODO
*Numeros complejosEs un numero real sumado o restado con un numero imaginario.
*Numero imaginarioEs un numero complejo cuya parte real es igual a cero. c=a +/- biEjemplos:4+8i10-5i1/3 - 4i
*Suma y resta de i (complejos)R +/- Ri +/- ise suman partes reales entre si y partes imaginarias entre si.Ejemplos:(3-4i)+(8+10i) = 11 + 6i(-4-8) - (7-6i) = -11 -2i*Numeros conjugadosCambio del signo de la parte imaginaria.
4-8i= 4+8iUn numero que tiene una parte real o imaginaria que se suma o se resta
i =
i.7 = 7i
*Multiplicacion de complejos
Se aplica la propiedad distributiva del producto respecto a la suma teniendo en cuenta que i a la dos = - 1.
FORMULA:(a + bi) (c+di)
EJEMPLOS:
ac + adi + bci bdi a la 2 ac + i (ad +bc-bd) (ac-bd) + (ad + bc)i
(4-8i) / (3+10i)
12+40i-24i-80i a la dos 12+16i +80 *se saca la raiz* 92 + 16 i
*Division de complejos FORMULA: a+bi/c+di / c-di/c-di
EJEMPLOS:4-8i/3+10i / 3-10i/3-10i
12-40i-24i+8i a la dos/9-100c a la dos 12/-64i -80 / 9 +100-68-64/109-68/109 - 64/109i
8-2i/-1+5i 8-2i/-1-5i + -1-5i/-1-5i -3-15i+2i-10i a la dos/ 1+25 -13-13i/26
-1/2 - !/2i ACTIVIDAD:
http://www.educaplay.com/es/recursoseducativos/667846/numeros_complejos.htm
*Numeros Polares complejos: a+- bi rectangulares Polares: r angulo deΘ r=magnitud Θ= angulo *Grafica
Para poder hacer una grafica polar primero se debe divir una hoja u otro espacio en dos de altura y en dos de ancho entre 2 siendo excatos ej ancho : 8 + 8 = 16 ancho = 8 ,despues se debe hacer una tabla sacando el coseno o seno cada 10 grados segun lo que le indiquen. Depues de haber sacado el cos o sen de cada grado o 10 grados o entre otros, se hace una lista de resultantes de cada grado de mayor a menor, el mayor resultante es igual a cuando mide la mitad de el ancho ej:8 cm y despues se implementa la regla de 3 con las demas resultantes sacando medidas y segun cada angulo debera graficar los cm hasta logar una grafica. ACTIVIDAD:
http://www.educaplay.com/es/recursoseducativos/667865/numeros_polaresyresctangulares.htm
*Ecuacion: igualdades en las que aparecen numeros e icognitas mediante operaciones algebraicas.
Ejemplo: 3x - 2y = x2 + 1
*Ecuacion de primer grado:Ecuaciones de una incognita cuando su parte literal no esta elevada a inguna potencia
Ejemplo:
3x + 1 = x - 2 3x +1 -1 = x - 2 -1 2x/2 = -3/2x = -1.5
ACTIVIDAD:
http://www.educaplay.com/es/recursoseducativos/667716/_ecuaciones_de_primer_grado.htm
VIDEO :)
ACTVIDAD:
http://www.educaplay.com/es/recursoseducativos/675474/movimientos_en_el_plano_composiciones.htm
Bizagi:
http://www.educaplay.com/es/recursoseducativos/675461/problemas.htm
Bizagi:
Cramer 3x3
Cramer 3x3 es un método para resolver sistemas de 3 ecuaciones de 3 incógnitas,el cual se explicara a continuación.
Para resolver un sistema de 3 ecuaciones por medio de Crammer lo primero que debemos es sacar DELTA por medio del metodo de Jarrus:
El metodo de sarrus consiste en que podemos sacar en el sistema de 3 ecuaciones los numeros de cada incognitaEjemplo: 3x seria 3 , 76y seria 76.Cuando a cada una se le saca el numero se pone igual a como estaba,y despues se duplican las dos primeras filas abajo de las ya echas.Realizando una MATRIZ.Ya echa esta se hacen lineas paralelas entre los numeros de la matriz enlazando 3 numeros, aunque hay dos grupos el primero que van lineas paralelas de izquierda a derecha y el otro que van lineas paralelas de derecha a izquierda.Aqui podemos ver en esta imagen un ejemplo:Las lineas moradas son las que van de izquierda a derecha y las negras que van de derecha a izquierda.
Después de esto se arman ya grupos entre cada 3 números de cada linea paralela multiplicándose los grupos de las lineas moradas deben contener un signo positivo y los grupos de las lineas negras un signo negativo. Ej: Delta = ( 1 x 2 x 3 ) + ( -4 x -1 x -3 ) + ( 5 x 2 x 1 ) - ( -3 x 2 x 5 ) - (1 x 1 x 1 ) - ( 3 x 2 x -4 ) Y multiplicado cada uno dará: Delta = 6 - 12 + 10 + 30 +1 + 24 Y se resuelven dichas operaciones obteniendo delta que sera:Delta = 59
Así obtuvimos Delta
Ya sabemos como obtener delta Usaremos otro ejemplo ya para obtener ya lo que equivale cada incógnita
x + y + z = 4 2x - 3y + 5z = -5 3x + 4y + 7z = 10
Se hace la respectiva matriz de esta ecuación sacando cada numero de cada incógnita quedando:
Luego de esto hallamos delta haciendo la matriz para sacar Delta y sus respectivos grupos resueltos dando:
Entonces Delta nos dio -23
Después de esto proseguiremos a descubrir cuanto equivale x,y y z.Se hace el mismo método de Sarrus pero el resultado no es delta sino x,y o z y se divide sobre Delta.
Ademas debemos tener en cuenta que:
En x volvemos a ver y hacer la matriz de la 3 ecuaciones y lo que es el = de las ecuaciones lo ponemos en la primera columna como a continuación veremos ya con el proceso de las lineas sus grupos evidentemente se cortan ya que se resuelve mentalmente, su resultado que se divide en Delta y ya dando a saber lo que equivale x.
En y volvemos a ver y hacer la matriz de la 3 ecuaciones y lo que es el = de las ecuaciones lo ponemos en la segunda columna como a continuación veremos ya con el proceso de las lineas, sus grupos evidentemente se cortan ya que se resuelve mentalmente, su resultado que se divide en Delta y ya dando a saber lo que equivale y.
En z volvemos a ver y hacer la matriz de la 3 ecuaciones y lo es el = de las ecuaciones lo ponemos en la tercera columna como a continuación veremos ya con el proceso de las lineas sus grupos evidentemente se cortan ya que se resuelve mentalmente, su resultado que se divide en Delta y ya dando a saber lo que equivale z.
ACTIVIDADES
http://www.educaplay.com/es/recursoseducativos/725322/cramer.htm
http://www.educaplay.com/es/recursoseducativos/725331/cramer.htm